new life suites göktürk

yandex

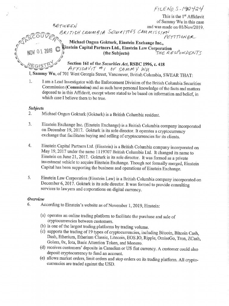
yandex

zingat

zingat

zingat

zingat

zingat

zingat

emlakdream

emlakdream

tripadvisor

tripadvisor

scribd

scribd

airbnb

airbnb

nestpick

nestpick

nestpick

nestpick

zingat

zingat

trip com

trip com

new life 2

new life 2

ics yapi gokturk new life suites

ics yapi gokturk new life suites

property istanbul

property istanbul

sahibinden com

sahibinden com

frontiers

frontiers

facebook

facebook

wikipedia

wikipedia

zingat

zingat

property turkey

property turkey

airbnb

airbnb

property turkey

property turkey

trip com

trip com

startup grind

startup grind

2

2

gramho

gramho

ics yapi gokturk new life suites

ics yapi gokturk new life suites

arkadia

arkadia

docplayer net

docplayer net

You May Like
stats counter